저항성 운동의 중요성
골격근(skeletal muscle)은 우리 몸의 기능적, 대사적 과정에서 핵심적인 역할을 합니다. 저항성 운동(resistance training, RT)은 외부 무게에 대항하여 근육을 수축시키는 운동으로, 근력 향상에 효과적으로 시키며 신체 기능을 개선하고 만성 질환 위험을 감소시킵니다.
하지만 많은 사람들이 궁금해하는 질문이 있습니다. “정확히 어떻게 운동해야 가장 효과적일까?” 이번 글에서는 178개 연구, 5,097명의 참가자 데이터를 분석한 대규모 베이지안 네트워크 메타분석 연구 결과를 바탕으로, 근육 성장과 근력 향상 위한 최적의 운동 처방을 알아보겠습니다.

연구 방법 : 어떻게 분석했을까?
이 연구는 2022년 2월까지 발표된 모든 관련 연구를 체계적으로 검토했습니다. 연구팀은 다음 세 가지 핵심 변수의 조합을 분석했습니다.
- 부하(load) : 1회 최대 반복 무게(single repetition maximum, 1RM)의 몇 %로 운동하는가
- 세트 수(sets) : 운동당 몇 세트를 수행하는가
- 주간 빈도(weekly frequency) : 일주일에 몇 번 운동하는가
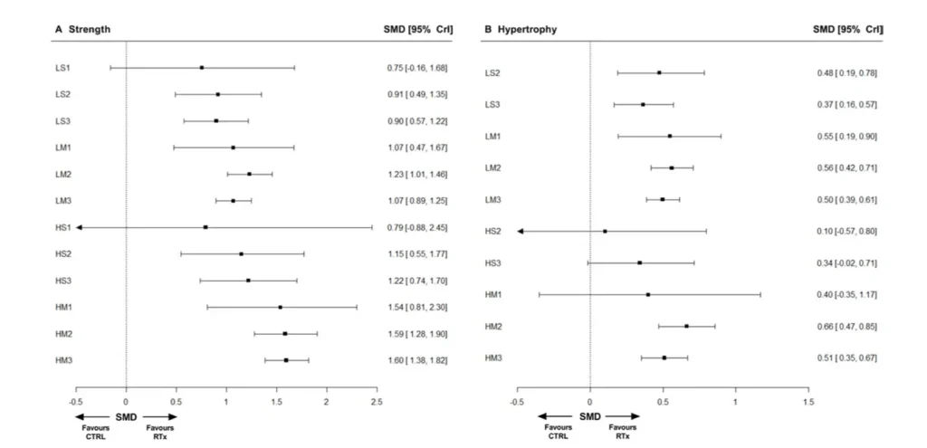
연구에서는 이러한 변수들의 조합을 12가지 운동 처방으로 분류했습니다.
운동 처방 분류 기준
| 분류 코드 | 부하 강도 | 세트 수 | 주간 빈도 |
|---|---|---|---|
| HM3 | 고부하(>80% 1RM) | 다중세트(2+) | 주 3회 |
| HM2 | 고부하(>80% 1RM) | 다중세트(2+) | 주 2회 |
| HM1 | 고부하(>80% 1RM) | 다중세트(2+) | 주 1회 |
| HS3 | 고부하(>80% 1RM) | 단일세트(1) | 주 3회 |
| HS2 | 고부하(>80% 1RM) | 단일세트(1) | 주 2회 |
| HS1 | 고부하(>80% 1RM) | 단일세트(1) | 주 1회 |
| LM3 | 저부하(≤80% 1RM) | 다중세트(2+) | 주 3회 |
| LM2 | 저부하(≤80% 1RM) | 다중세트(2+) | 주 2회 |
| LM1 | 저부하(≤80% 1RM) | 다중세트(2+) | 주 1회 |
| LS3 | 저부하(≤80% 1RM) | 단일세트(1) | 주 3회 |
| LS2 | 저부하(≤80% 1RM) | 단일세트(1) | 주 2회 |
| LS1 | 저부하(≤80% 1RM) | 단일세트(1) | 주 1회 |
핵심 연구 결과 1. 모든 운동이 효과는 있다
가장 중요한 발견은 모든 저항성 운동 처방이 운동을 하지 않는 것보다 근력 향상에 효과적이라는 점입니다.
연구 결과에 따르면:
- 최소 2세트 또는 주 2회 운동 시 근력 향상 확률이 95%
- 최소 2세트이면서 주 2회 운동 시 근육 성장 발생
- 모든 운동 처방이 중간 수준(표준화 평균 차이 SMD > 0.47) 이상의 근력 향상 유도
- 모든 운동 처방이 작은 수준(SMD > 0.16) 이상의 근육량 증가 유도
이는 “완벽한 운동 루틴을 찾지 못해서” 운동을 미루는 것보다, 지금 당장 어떤 형태로든 운동을 시작하는 것이 훨씬 중요하다는 의미입니다.

핵심 연구 결과 2. 근력 향상에 최적화된 운동법
근력 향상을 목표로 한다면 고부하 운동이 핵심입니다.
근력 향상 Top 3 운동 처방
1위 : HM3 (고부하 + 다중세트 + 주 3회)
- 대조군 대비 표준화 평균 차이 : 1.60 (95% 신뢰구간: 1.38~1.82)
- 1RM의 80% 이상 무게로 운동
- 운동당 2세트 이상
- 주 3회 실시
2위 : HM2 (고부하 + 다중세트 + 주 2회)
- 주 2회로 빈도를 줄여도 효과적
3위 : HM1 (고부하 + 다중세트 + 주 1회)
- 바쁜 일정에도 주 1회 고강도 운동으로 효과 가능
왜 고부하가 중요할까?
고부하 운동은 신경근(neuromuscular) 시스템의 적응을 촉진합니다. 무거운 중량을 들 때
- 더 많은 운동단위(motor unit)가 동원됩니다
- 신경과 근육 간 협응력(coordination)이 향상됩니다
- 근섬유(muscle fiber) 내 수축 단백질(contractile protein) 효율성이 증가합니다
연구에서 흥미로운 점은 저부하 운동도 근력 증가 효과가 있지만, 고부하 다중세트 프로그램과 저부하 운동 간 비교 111개 중 9개에서만 통계적으로 유의미한 차이가 나타났다는 점입니다. 이 9개 모두 고부하 운동이 우수했습니다.
핵심 연구 결과 3. 근육 성장(비대)에 최적화된 운동법
근육량 증가(muscle hypertrophy, 근비대)를 목표로 한다면 부하보다 운동량(volume)이 더 중요합니다.
근육 성장 Top 3 운동 처방
1위 : HM2 (고부하 + 다중세트 + 주 2회)
- 대조군 대비 표준화 평균 차이 : 0.66 (95% 신뢰구간: 0.47~0.85)
- 다중세트가 핵심 요소
2위 : HM1 (고부하 + 다중세트 + 주 1회)
- 주 1회로도 충분한 근육 성장 가능
3위 : LM2/LM3 (저부하 + 다중세트 + 주 2-3회)
- 저부하라도 다중세트로 보완 가능
근육 성장에 대한 놀라운 발견
연구 결과는 부하의 중요성이 근력만큼 크지 않다는 점을 보여줍니다.
- 고부하와 저부하 운동 모두 유사한 근육 성장 유도
- 다중세트 수행이 가장 중요한 요소
- 세트 수와 빈도가 총 운동량(volume)을 결정하며, 이것이 근비대의 핵심 요인
이는 관절에 부담이 있거나 무거운 중량을 들기 어려운 사람들에게 희소식입니다. 가벼운 중량으로도 충분한 세트 수를 수행하면 근육 성장을 달성할 수 있습니다.
당신에게 맞는 운동 처방은?
시나리오 1. 근력 극대화가 목표인 운동 경험자
추천 운동 처방 : HM3
- 1RM의 80-85% 무게 사용
- 각 운동마다 3-4세트
- 월/수/금 주 3회 운동
- 예 : 스쿼트(squat) 80kg × 5회 × 4세트
시나리오 2. 근육량 증가가 목표이나 시간이 부족한 직장인
추천 운동 처방 : HM2
- 1RM의 75-80% 무게 사용
- 각 운동마다 3세트
- 화/목 또는 수/토 주 2회 운동
- 예 : 벤치프레스(bench press) 60kg × 8회 × 3세트
시나리오 3. 관절 문제가 있거나 운동 초보자
추천 운동 처방 : LM2
- 1RM의 60-70% 가벼운 무게 사용
- 각 운동마다 3-4세트, 반복 횟수 증가(12-15회)
- 주 2회 운동
- 예 : 레그프레스(leg press) 50kg × 12회 × 4세트
시나리오 4. 매우 바쁜 일정, 최소 시간 투자
추천 운동 처방 : HM1 또는 LM1
- 주 1회라도 다중세트 수행
- 전신 운동(full-body workout) 루틴 구성
- 주말에 60-90분 집중 운동
중요한 실천 포인트 3가지
1. 완벽보다 실천이 우선
연구는 명확히 보여줍니다. “어떤 운동이든 하지 않는 것보다 낫다” 세계보건기구(WHO)의 권장사항처럼, “조금이라도 하는 것이 전혀 하지 않는 것보다 낫습니다.”
현재 대부분의 성인이 운동 가이드라인을 충족하지 못하고 있습니다. 복잡한 운동 처방이 오히려 운동 시작의 장벽이 될 수 있습니다. 최적의 운동법을 찾느라 시간을 보내기보다, 지금 바로 시작 가능한 운동을 선택하는 것이 더 중요합니다.
2. 개인 맞춤화가 필요
연구에서 1위로 선정된 운동 처방이 모든 사람에게 최선은 아닙니다. 다음을 고려해야 합니다.
- 시간 제약 : 주 3회가 어렵다면 주 2회도 충분히 효과적
- 선호도 : 고부하를 싫어한다면 저부하 다중세트로 대체 가능
- 신체 상태 : 관절 문제, 부상 이력 고려
- 경험 수준 : 초보자는 낮은 강도에서 시작
3. 점진적 과부하(progressive overload) 원칙
연구에서 다루지 않았지만, 장기적 성장을 위해서는
- 정기적으로 무게, 세트 수, 또는 반복 횟수 증가
- 2-4주마다 운동 프로그램 재평가
- 신체 적응에 따른 조정
연구의 강점과 한계
연구의 강점
- 대규모 데이터 : 근력 분석 178개 연구 5,097명, 근비대 분석 119개 연구 3,364명
- 여성 포함 : 참가자의 45-47%가 여성으로 성별 균형
- 통계적 엄밀성 : 베이지안 네트워크 메타분석과 역치 분석(threshold analysis)으로 결과의 견고성 검증
- 다중 비교 : 12가지 운동 처방의 직접 및 간접 비교
연구의 한계
- 건강한 성인 대상 : 만성 질환자나 노인에게 직접 적용 제한
- 단기 효과 : 장기적(1년 이상) 효과는 불확실
- 다른 변수 미포함 : 휴식 시간, 수축 속도, 운동 범위(range of motion) 등 고려 안 됨
- 실생활 건강 결과 : 근력/근육량 증가가 실제 건강 개선으로 이어지는지는 별도 연구 필요
안전하고 효과적인 운동을 위해
운동 시작 전 체크리스트
- 기저 질환이 있다면 의사와 상담
- 현재 체력 수준 평가 (1RM 테스트는 전문가 감독 하에)
- 명확한 목표 설정 (근력 vs 근육량 vs 둘 다)
- 최소 8-12주 일관된 프로그램 유지 계획
부상 예방을 위한 팁
- 준비운동(warm-up) : 5-10분 가벼운 유산소 + 동적 스트레칭(dynamic stretching)
- 올바른 자세(form) : 무게보다 정확한 동작이 우선
- 점진적 증가 : 주당 무게 증가는 2.5-5% 이내
- 충분한 회복 : 동일 근육군은 48-72시간 휴식
당신의 운동 여정을 시작하세요
이 대규모 메타분석 연구는 명확한 메시지를 전달합니다.
- 모든 저항성 운동이 효과적입니다 – 운동하지 않는 것보다 어떤 운동이든 우수
- 근력 향상이 목표라면 고부하(>80% 1RM), 다중세트, 주 2-3회 운동
- 근육 성장이 목표라면 다중세트와 충분한 운동량에 집중, 부하는 상대적으로 유연
하지만 가장 중요한 것은 실천입니다. 완벽한 운동 계획을 세우느라 시간을 낭비하기보다, 오늘 당장 시작할 수 있는 운동을 선택하세요. 주 1회 30분이라도 꾸준히 하는 것이, 완벽한 계획만 세우고 실천하지 않는 것보다 훨씬 낫습니다.
당신의 체력 수준, 시간, 선호도에 맞는 운동 처방을 선택하고, 오늘부터 시작하세요. 12주 후, 당신은 분명 더 강해지고 건강해진 자신을 발견하게 될 것입니다.
이 글은 과학적 연구 결과를 바탕으로 작성되었으나, 개인의 건강 상태에 따라 적절한 운동 처방이 다를 수 있습니다. 운동 시작 전 전문가와 상담하시기 바랍니다.